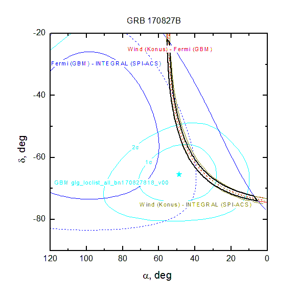
GRB 170827B

IPN triangulation map of GRB 170827B