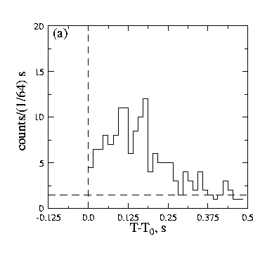
SGR 0526-66 Burst 790424 T0=66438.241 s UT


time history data(0.9Kb) spectral data(0.4Kb)
time history spectrum