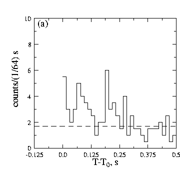
SGR 0526-66 Burst 820215 T0=38191.071 s UT


time history data(0.9Kb)
time history