SGR 1900+14 Burst 980827 T0=37337.578 s UT


time history data (initial pulse)(96.5Kb)
time history data (pulsating tail)(57.0Kb)
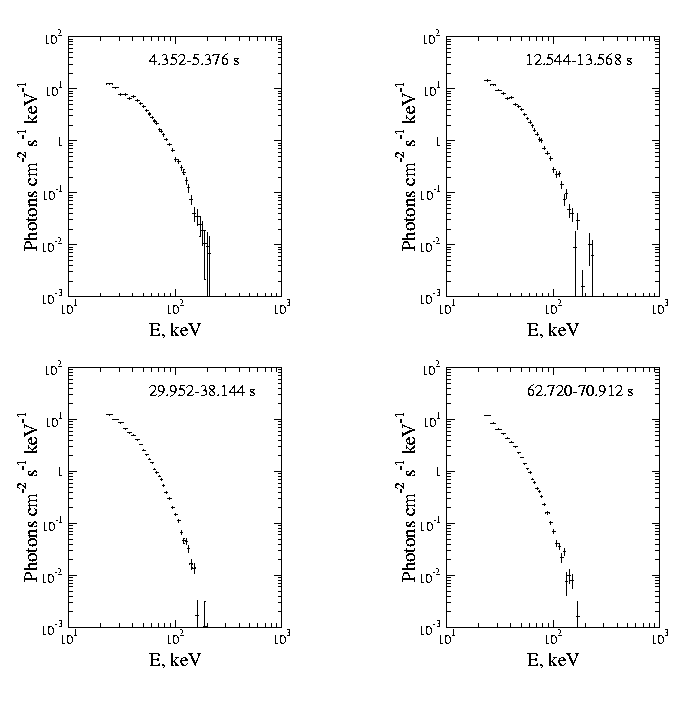
spectral data(4.8Kb)
time history
time history
time history
time history
time history
spectrum