SGR 1900+14 Burst 980901c T0=61232.594 s UT


time history data(35.8Kb)
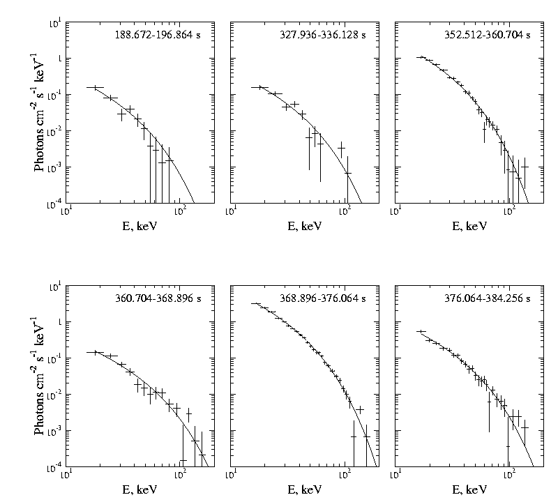
spectral data(5.1Kb)
time history spectrum
time history
time history