| Web of Science® | |
|---|---|
| ФТИ в 200024 гг. | |
| Статей | 25425 |
| Цитируемость | |
| суммарная | 326761 |
| на статью | 12,9 |
| Индекс Хирша | 169 |
| G-индекс | 286 |
| Scopus® | |
|---|---|
| ФТИ в 200024 гг. | |
| Статей | 28655 |
| Цитируемость | |
| суммарная | 364193 |
| на статью | 12,7 |
| Индекс Хирша | 180 |
| G-индекс | 304 |
Copyright © 2021 - All Rights Reserved - ioffe.ru
Template by OS Templates
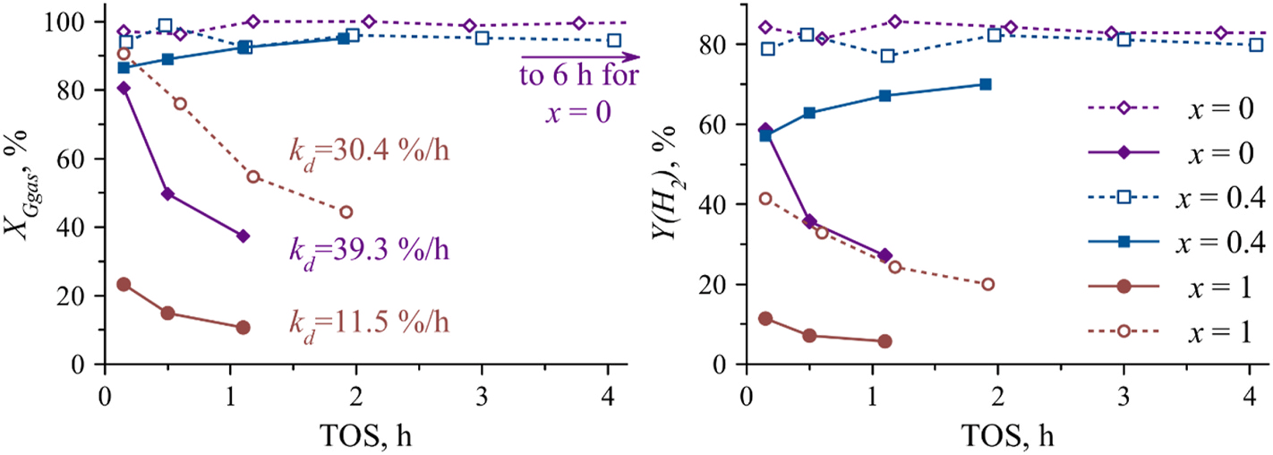
Паровая конверсия глицерина является одним из потенциальных промышленных методов получения водорода. Глицерин образуется собой побочный продукт производства биодизельного топлива. Нанокомпозиты на основе наносвитков слоистых силикатов переходных металлов со структурой хризотила могут служить перспективными кандидатами на роль катализаторов в этом процессе. В работе [1] была получена серия Ni-Co-содержащих слоистых силикатов со структурой хризотила состава (Cox,Ni1–x)3Si2O5(OH)4. Впервые получены монометаллический Co-катализатор (x = 1) и биметаллический Ni-Co-катализатор (x = 0.4) на основе слоистых силикатов, а также проведено их сравнение в каталитической реакции паровой конверсии глицерина с монометаллическим Ni-катализатором (x = 0). Серия физико-химических исследований позволила выявить различия в кристаллической и пористой структуре, морфологии, стабильности пористости в процессе восстановления, а также размере и локализации металлических наночастиц. Биметаллический образец продемонстрировал синергетический эффект, который проявился в увеличении конверсии глицерина и выхода водорода с течением времени работы при температуре 600 °C, а также в более высокой стабильности и меньшей склонности к коксованию по сравнению с монометаллическими образцами. Выявленные особенности исследуемых систем (повышение однородности сплава NiCo в процессе испытания, окисление и блокирование наночастиц Co внутри каналов наносвитков) позволили объяснить наблюдаемые различия в каталитическом поведении в паровой конверсии глицерина.
Иллюстрации
Рис. 1. Конверсия глицерина в газ (A) и выход водорода (B) в зависимости от времени реакции (TOS) при различных объемных скоростях газа (GHSV). Условия реакции: T = 600 °С, Vliq = 7.4 мл/ч, V(N2) = 30 мл/мин; mcat = 0.12 г (GHSV = 80 000 ч-1, незакрашенные символы) или mcat = 0.03 г (GHSV = 320 000 ч-1, закрашенные символы), kd — константа дезактивации, ч-1
Публикации